星空体育中国官方网站
学校官网
设为首页
|
加为收藏
站内搜索:
首页
星空体育中国官方网站
学院简介
历史沿革
组织机构
现任领导
学院动态
学院风采
党群工作
理论专栏
专题教育
支部工作
党员发展
工会活动
师资队伍
教师结构
教学名师
教师风采
近年引进的高层次人才
研究生教育
工作动态
学科介绍
培养工作
学位工作
博士生导师
硕士生导师
本科生教育
工作动态
专业介绍
教学成果
实验中心
学科与科研
工作动态
学科设置
学术活动
科研平台
项目成果
三全育人
工作动态
团学工作
招生就业
政策解读
课程育人
科研育人
实践育人
文化育人
网络育人
心理育人
管理育人
服务育人
资助育人
组织育人
合作交流
国际合作与交流
校企合作
校友之窗
校友工作
校友风采
资源服务
图书资料
校院制度
院务公开
下载专区
研究生教育
Graduate study
工作动态
学科介绍
培养工作
学位工作
博士生导师
硕士生导师
工作动态
当前位置:
首页
>
研究生教育
>
工作动态
> 正文
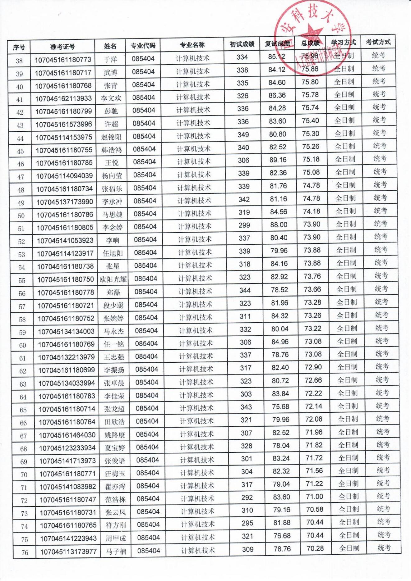
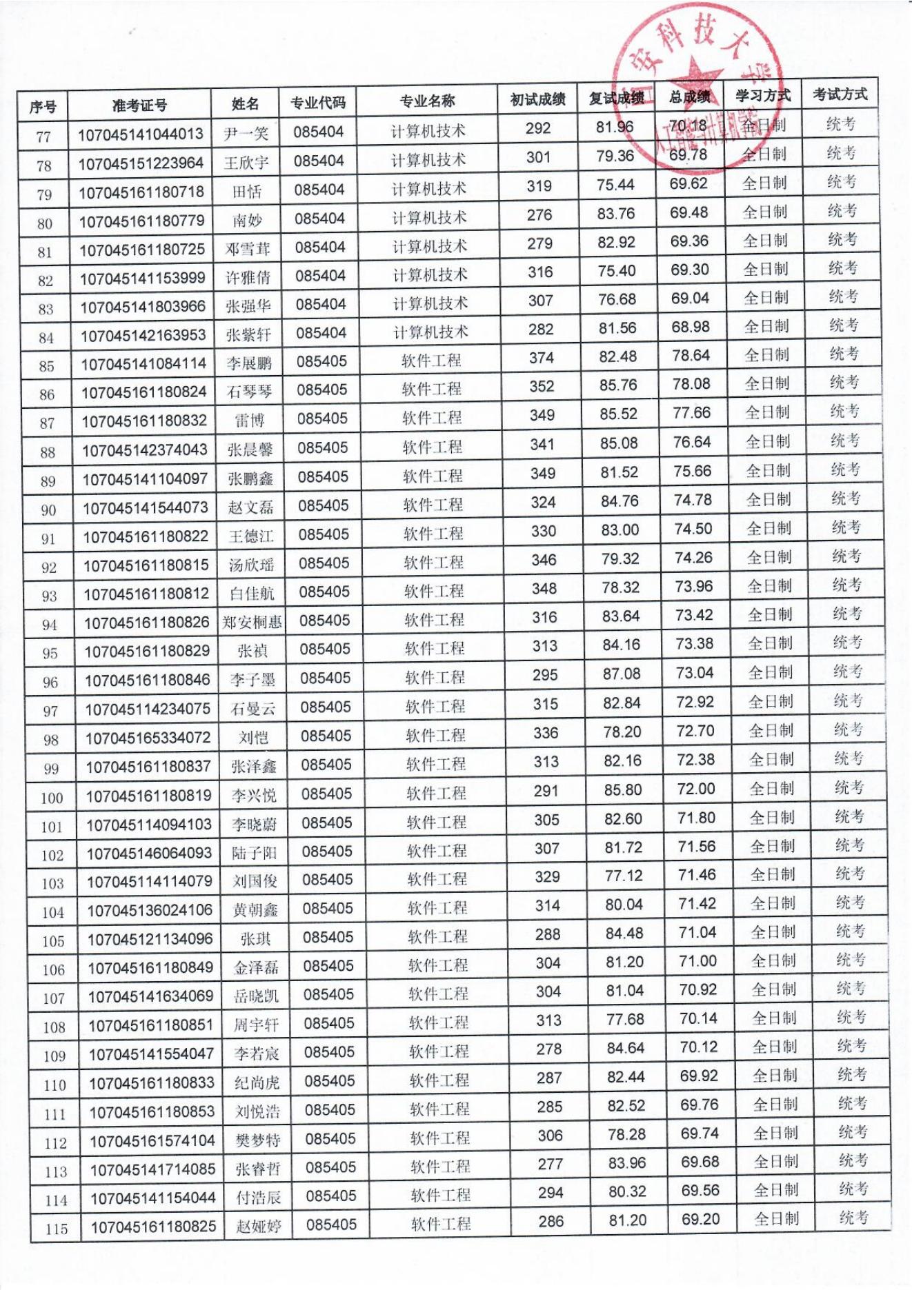
星空体育中国官方网站2025年研究生招生一志愿拟录取名单公示
发布日期:2025-03-31 浏览数:
上一篇:人工智能与计算机学院2025年硕士研究生接收调剂公告
下一篇:星空体育中国官方网站2025年硕士研究生招生复试工作方案
友情链接: